2022년 공무원 봉급표
(군인, 경찰, 소방공무원 봉급표 포함)
2022년 공무원 봉급인상률이 발표되었습니다.
인사혁신처는 12월 28일 2022년 공무원 처우와 수당제도 개선 등의 내용을 담은
'공무원 보수규정 및 공무원 수당 등에 관한 규정' 개정안을 국무회의에서 의결했다고 발표했습니다.
이 개정안에는 공무원의 사기진작 및 물가등을 고려해 보수를 평균 1.4% 인상하기로 했다고 합니다.
이에 대해 공무원들은 코로나19에 공무원들을 쥐어 짜면서 힘들게 일하고 있는데
물가상승률에도 못미치는 봉급인상률은 결국 감봉이지 않느냐는 의견도 있으며
일반 국민들은 모두가 힘든데 공무원도 같이 힘들어야 되지 않겠느냐는 의견도 있습니다.

2022년 대통령이 누가 될지 아직 모르지만
대통령의 연봉은 2억4,064만 8000원으로 책정되었다고 합니다.
현 문대통령의 봉급 뿐만아니라 내년 5월 10일 취임하는 20대 대통령도
같은 연봉을 적용 받습니다.
그리고 인사처 관계자는 경제여건 등을 감안해
정무직 공무원과 고위공무원단 및 2급 이상 공무원은 2022년 인상분을 반납하기로
했다고 하네요.
결과적으로 국무총리는 1억8656만2000원의 봉급을
부총리 및 감사원장은 1억4114만5000원
장관 및 장관급 공무원은 1억3718만9000원
식품의약품안전처장 등은 1억 3520만9000원
차관 및 차관급 공무원은 1억 3323만4000원을 받게 됩니다.
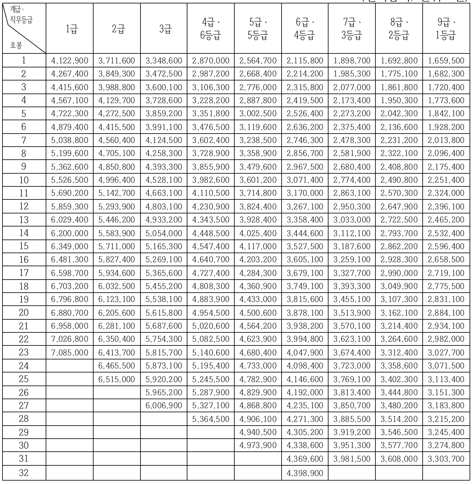
■ 2022년 일반직 공무원 및 군무원 봉급표
일반직 공무원의 경우 전년대비 1.4% 봉급이 인상되었습니다.
2021년에는 9급 1호봉이 1,659,500원의 봉급을 받았으나
2022년에 9급 1호봉은 1,682,733원의 봉급을 받게 됩니다.
여기에 약간의 수당이 포함되지만 4대보험 및 세금과 연금등을 빼면
결국 최저임금에도 못미치는 봉급을 받게 됩니다.
힘들게 9급에 합격했지만 많은 임금을 받는건 아닙니다.
▶ 2021년 일반직 공무원 봉급표

일반직 공무원 봉급표에는 특징적 공무원도 같은 봉급을 받게 됩니다.
예를 들면 군무원, 국정원 등 특징적 공무원도 해당 봉급표 적용을 받습니다.
▶ 2022년 공무원 봉급표

■ 2022년 경찰, 소방공무원 봉급표

■ 2022년 군인 봉급표
군인 특히 병사는 2017년 계획한 '병 봉급 인상계획'에 따라
전년대비 평균 11.1% 인상되었습니다.
아마 공무원 중 가장 많은 인상폭으로 매년 인상이 되고 있습니다.
이병 봉급은 51만원
일병 봉급은 55만2100원
상병 봉급은 61만200원
병장 봉급은 67만6100원으로
최저 임금대비 50% 수준으로 맞쳐가고 있습니다.
제 군복부 시절 한달 봉급이 9000원이던 시절과 비교해보면 격세지감이 느껴지네요.
병사 봉급은 급격하게 인상되었지만 일반 직업군인의 경우는 공무원 봉급인상률과 같은
1.4% 인상에 그쳤습니다.
▶ 2022년 군인 봉급표

2022년 일반직 공무원 및 특정직 공무원 봉급표와 함께
군인 봉급도 알아보았습니다.
이 나라를 유지하고 지키는데 필수적인 인력들입니다.
매년 공무원 봉급인상률이 어떻구 하는 기사가 나오는데
봉급표 참고하시기 바랍니다.
'생활정보' 카테고리의 다른 글
| 2022년 인상깊은 새해 인사말 설날 인사 이미지 모음 (1) | 2022.01.04 |
|---|---|
| 2021년 로또 총결산 - 나의 로또 수익은 얼마? (1) | 2022.01.03 |
| 서초구 SRT 수서역 선별진료소 이용 후기 (0) | 2021.12.31 |
| [로또645] 제 996회 로또 당첨예상번호 (0) | 2021.12.31 |
| 수안보 가족탕 5곳 총정리 (0) | 2021.12.30 |